Задать свой вопрос
*более 50 000 пользователей получили ответ на «Решим всё»
Задача 32044
Ребят очень срочно!!! В первом от - 3...
Условие
kussya
2018-12-17 21:15:29
Ребят очень срочно!!!
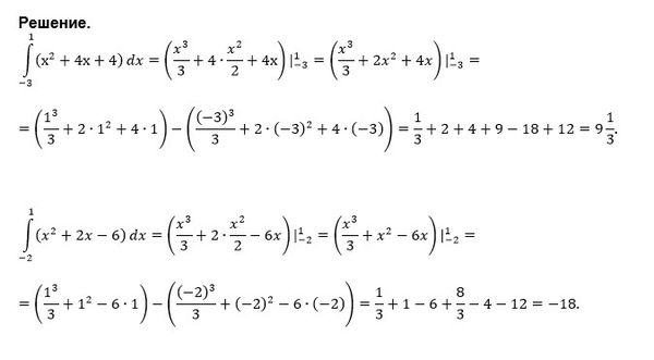
В первом от - 3 до 1 а во втором от - 2 до 1
Помогите
математика 10-11 класс
741
Решение
u821511235
2018-12-17 21:34:20
★
Написать комментарий
Меню
Решим всё
Найти задачу
Категории
Статьи
Тесты
Архив задач
Присоединяйся в ВК