Задать свой вопрос
*более 50 000 пользователей получили ответ на «Решим всё»
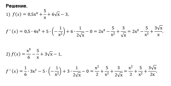
Задача 32042
Помогите пожалуйста со вторым...
Условие
kussya
2018-12-17 21:07:18
Помогите пожалуйста со вторым
математика 10-11 класс
653
Решение
u821511235
2018-12-17 21:47:48
★
Написать комментарий
Меню
Решим всё
Найти задачу
Категории
Статьи
Тесты
Архив задач
Присоединяйся в ВК