Задать свой вопрос   *более 50 000 пользователей получили ответ на «Решим всё»

Задача 32038 14. Вычислить определитель третьего...

Условие

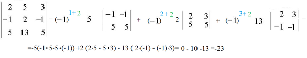
14. Вычислить определитель третьего порядка по правилу треугольников, разложив по второму столбцу:

| 2 5 3 |
| -1 2 -1 |
| 5 13 5 |.

математика ВУЗ 1231

Решение

Правило треугольников ( см. приложение):
2*2*5+5*(-1)*5+(-1)*13*3-5*2*3-2*13*(-1)-(-1)*5*5=

=20-25-39-30+26+25=-23

Написать комментарий

Категория

Меню

Присоединяйся в ВК