Задать свой вопрос   *более 50 000 пользователей получили ответ на «Решим всё»

Задача 32016 Решите пропорции ответы натуральные...

Условие

Решите пропорции ответы натуральные числа пожалуйста

математика 10-11 класс 683

Решение

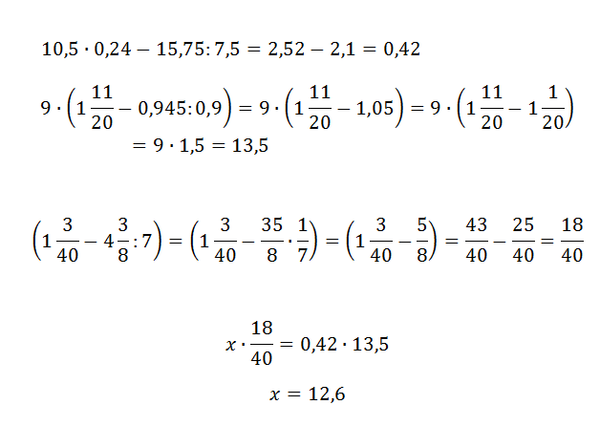
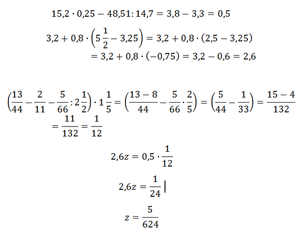
[b]Применяем основное свойство пропорции: произведение крайних членов пропорции равно произведению средних.[/b]

Написать комментарий

Меню

Присоединяйся в ВК