Задать свой вопрос   *более 50 000 пользователей получили ответ на «Решим всё»

Задача 31901 4 Найти производную функции при заданном...

Условие

4 Найти производную функции при заданном значении аргумента:
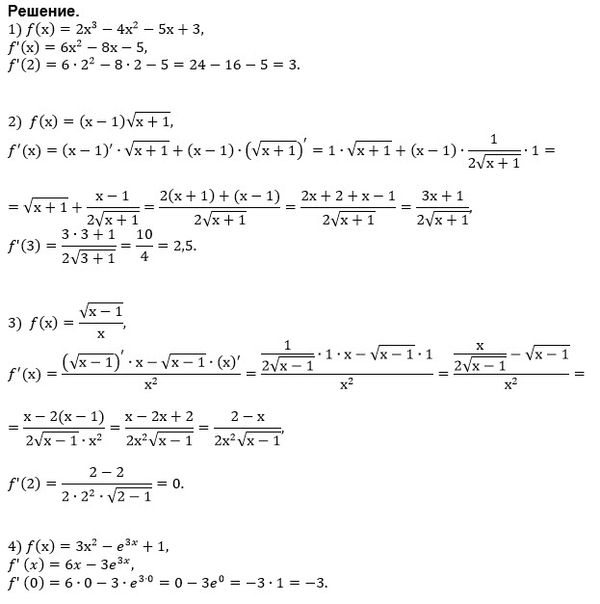
1) [m] f(x) = 2x^3 - 4x^2 - 5x + 3, x = 2 [/m]
2) [m] f(x) = (x - 1) \sqrt{x + 1}, x = 3 [/m]
3) [m] f(x) = \sqrt{\frac{x}{x - 1}}, x = 2 [/m]
4) [m] f(x) = 3x^2 - e^{3x} + 1, x = 0 [/m]
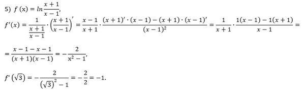
5) [m] f(x) = \ln{\frac{x+1}{x-1}}, x = \sqrt{3} [/m]

математика 776

Все решения

Написать комментарий

Меню

Присоединяйся в ВК