Задать свой вопрос
*более 50 000 пользователей получили ответ на «Решим всё»
Задача 3188
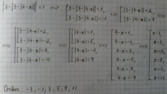
|3-|3-|4-x||| = 1...
Условие
slava191
15.05.2015
|3-|3-|4-x||| = 1
математика 10-11 класс
979
Решение
Ответ:
-3, -1, 3, 5, 9, 11
Написать комментарий
Меню
Решим всё
Найти задачу
Категории
Статьи
Тесты
Архив задач
Присоединяйся в ВК