Задать свой вопрос
*более 50 000 пользователей получили ответ на «Решим всё»
Задача 31875
...
Условие
vk439856346
2018-12-12 23:15:43
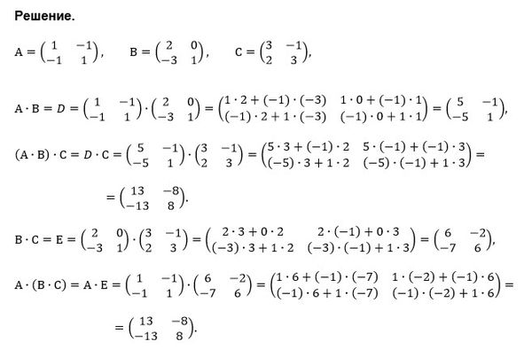
1.1.14. Найти произведение матриц (AB)∙C и A·(BC):
математика 3k класс
664
Все решения
u821511235
2018-12-13 08:18:51
Написать комментарий
Меню
Решим всё
Найти задачу
Категории
Статьи
Тесты
Архив задач
Присоединяйся в ВК