Задать свой вопрос
*более 50 000 пользователей получили ответ на «Решим всё»
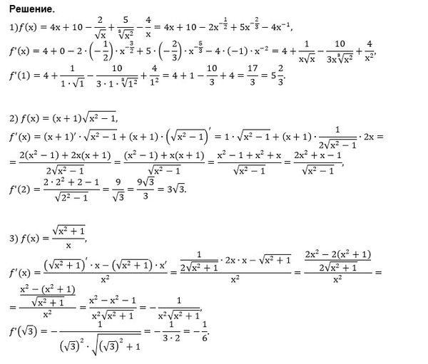
Задача 31726
помогите пожалуйста решить !...
Условие
vk145556180
2018-12-09 16:50:25
помогите пожалуйста решить !
математика
811
Все решения
u821511235
2018-12-09 23:22:42
Написать комментарий
Меню
Решим всё
Найти задачу
Категории
Статьи
Тесты
Архив задач
Присоединяйся в ВК