Задать свой вопрос   *более 50 000 пользователей получили ответ на «Решим всё»

Задача 31725 ...

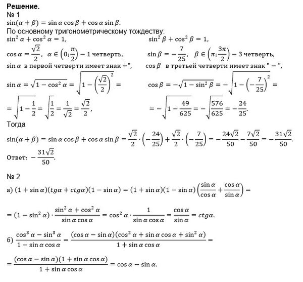
Условие

1. Вычислить
sin (α + β), если cosα = √2/2, sin β = -7/25, α ∈ (0; π/2), β ∈ (π; 3π/2)

2. Упростить выражение: a)
(1 + sinα)(tgα + ctgα)(1 - sinα)

b) ..

математика 725

Все решения

Написать комментарий

Меню

Присоединяйся в ВК