Задать свой вопрос   *более 50 000 пользователей получили ответ на «Решим всё»

Задача 31717 12. Составить параметрические и...

Условие

12. Составить параметрические и канонические уравнения прямой, заданной как пересечение двух плоскостей: [m]2x - y - z - 1 = 0[/m] и [m]x + 2y + z - 2 = 0[/m].

13. Найти проекцию точки [m]A(1, 2, -3)[/m] на прямую, заданную как пересечение двух плоскостей: [m]- x + y - 2z + 1 = 0[/m] и [m]y + 4z + 2 = 0[/m].

математика ВУЗ 1674

Решение

1.
Находим две точки, принадлежащие и той и другой плоскости одновременно, т.е принадлежащие именно линии пересечения

Пусть первая координата этой точки
х=0
{-y - z-1=0
{2y+z-2=0
Cкладываем
y-3=0
y=3
z=-2y+2=-4

А(0;3;-4)

Пусть вторая координата у=0
{2х-z-1=0
{x+z-2=0
Cкладываем
3х=3
х=1
z=1
B(1;0;1)

Составляем уравнение прямой проходящей через две точки А(0;3;-4) и В(1;0;1)

(x-0)/(1-0)=(y-3)/(0-3)=(z+4)/(1+4)

х/1=(y-3)/(-3)=(z+4)/5 - каноническое уравнение

Обозначим ( т. е вводим параметер t)
х/1=(y-3)/(-3)=(z+4)/5= t

x=t
y-3=3t ⇒ y=3t+3
z+4=5t ⇒z=5t-4
- параметрическое

2. Так же
Находим две точки, принадлежащие и той и другой плоскости одновременно, т.е принадлежащие именно линии пересечения

Пусть третья координата этой точки
z=0
{-x+y+1=0
{y+2=0 ⇒ y=-2
x=y+1=-2+1=-1
B(-1;-2;0)

Пусть вторая координата у=0
{-х-2z+1=0
{4z+2=0

z=-1/2
x=-2
C(-2;0;-1/2)

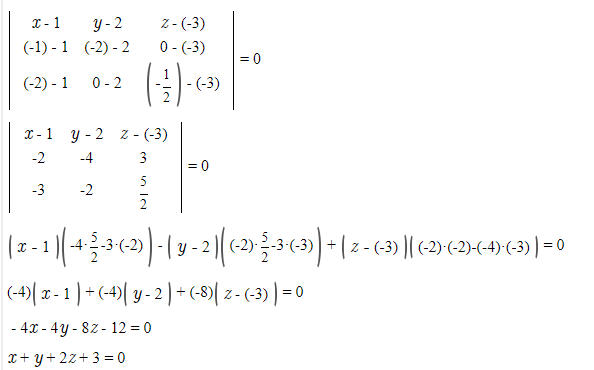
Составляем уравнение плоскости, проходящей через три точки
А, В и С

Написать комментарий

Категория

Меню

Присоединяйся в ВК