Задать свой вопрос   *более 50 000 пользователей получили ответ на «Решим всё»

Задача 3170 Указать предел интегрирования в...

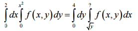
Условие

Указать предел интегрирования в равенствах для повторных интегралов в декартовой системе координат

математика ВУЗ 3408

Решение



Ответ: 2

Написать комментарий

Меню

Присоединяйся в ВК