Задать свой вопрос
*более 50 000 пользователей получили ответ на «Решим всё»
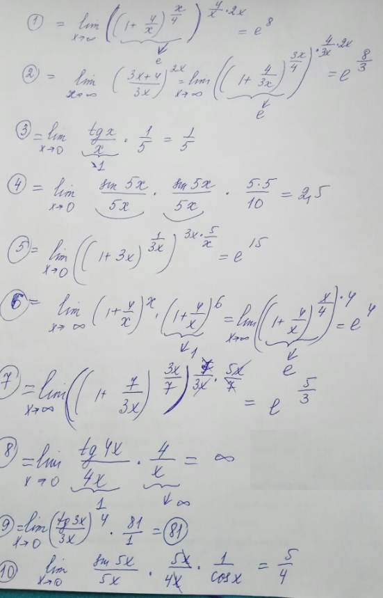
Задача 31664
Высш.мат.Вычисление пределов с помощью...
Условие
vk152543741
2018-12-07 10:21:36
Высш.мат.Вычисление пределов с помощью "замечательных"
математика ВУЗ
849
Решение
sova
2018-12-07 10:38:16
★
Написать комментарий
Меню
Решим всё
Найти задачу
Категории
Статьи
Тесты
Архив задач
Присоединяйся в ВК