Задать свой вопрос
*более 50 000 пользователей получили ответ на «Решим всё»
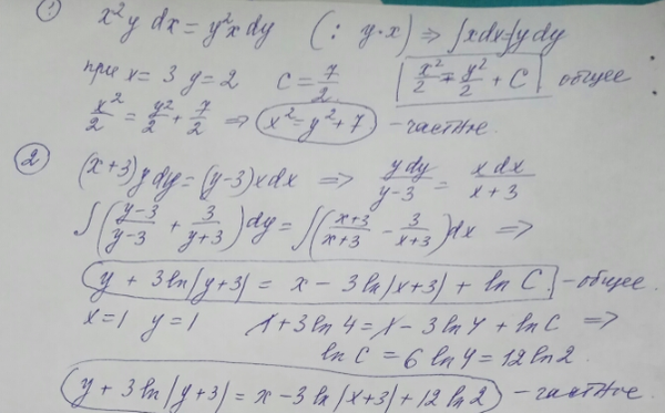
Задача 31663
Высшая математика.Решение...
Условие
vk152543741
2018-12-07 10:11:21
Высшая математика.Решение дифференциальных уравнений с разделяющими переменными.Заранее спасибо
математика ВУЗ
653
Решение
sova
2018-12-07 10:54:19
★
Написать комментарий
Меню
Решим всё
Найти задачу
Категории
Статьи
Тесты
Архив задач
Присоединяйся в ВК