Задать свой вопрос   *более 50 000 пользователей получили ответ на «Решим всё»

Задача 31640 ...

Условие

математика ВУЗ 880

Решение

a) Координаты точки М
x_(M)=(x_(B)+x_(C))/2= (8+6)/2=7
y_(M)=(y_(B)+y_(C))/2= (2+9)/2=11/2
z_(M)=(z_(B)+z_(C))/2= (3-56)/2=-1

vector{AB}=(4;4;-2)
|vector{AB}|=sqrt(4^2+4^2+(-2)^2)=6

vector{AM}=(3;15/2;6)
|vector{AM}|=sqrt(3^2+(15/2)^2+6^2)=sqrt(445)/2

cos(vector{AB},vector{AM})=vector{AB}*vector{AM}/(|vector{AB}|*|vector{AM}|)=

=(4*3+4*(15/2)+(-2)*6)/(6*sqrt(445)/2)

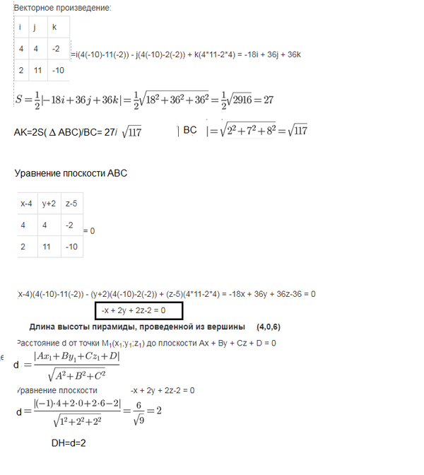
б)S(грани АВС)=(1/2)BC*AK
AK=2S(грани АВС)|BC
vector(ВC}=(2;-7;8}
|vector(ВC}|=sqrt(2^2+(-7)^2+8^2)=sqrt(117)

S(грани АВС)=(1/2)|vector{AB}×vector{AC}|
vector(AC}=(2;11;-10}
vector{AB}×vector{AC}=-18vector{i}+36vector{j}+3vector{k}

Вопросы к решению (1)

Написать комментарий

Меню

Присоединяйся в ВК