Задать свой вопрос
*более 50 000 пользователей получили ответ на «Решим всё»
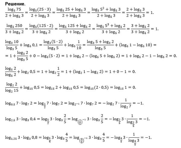
Задача 31612
Помогите пожалуйста решить что...
Условие
vk132803980
2018-12-05 21:43:35
Помогите пожалуйста решить что изображено на фото!!!!
математика 10-11 класс
740
Решение
u821511235
2018-12-06 07:19:57
★
Написать комментарий
Меню
Решим всё
Найти задачу
Категории
Статьи
Тесты
Архив задач
Присоединяйся в ВК