Задать свой вопрос
*более 50 000 пользователей получили ответ на «Решим всё»
Задача 31600
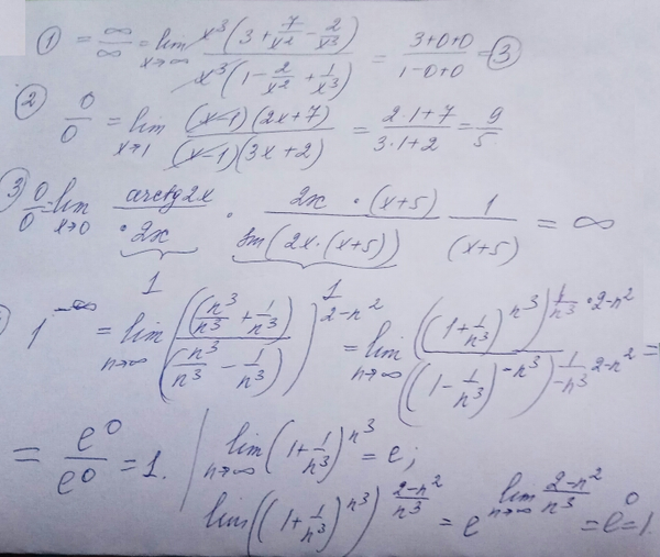
Вычислить пределы не пользуясь правилом...
Условие
vk266567115
2018-12-05 14:20:22
Вычислить пределы не пользуясь правилом Лопиталя
предмет не задан ВУЗ
1077
Решение
sova
2018-12-05 14:48:06
★
Написать комментарий
Меню
Решим всё
Найти задачу
Категории
Статьи
Тесты
Архив задач
Присоединяйся в ВК