Задать свой вопрос   *более 50 000 пользователей получили ответ на «Решим всё»

Задача 31567 ...

Условие

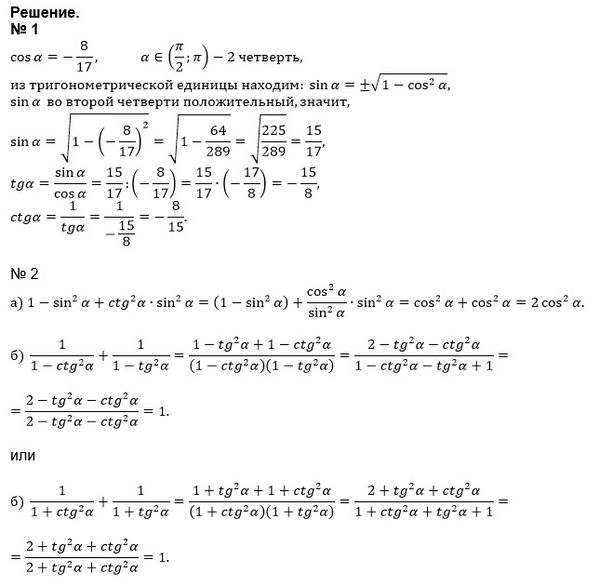
1. Вычислить значения sinα, tgα и ctgα, если cosα = [m]-\frac{8}{17}[/m], α ∈ ([m]\frac{π}{2}[/m];π).

2. Упростить выражение: a) 1 - sin²α + ctg²α sin²α;

b) [m]\frac{1}{1 - ctg²α} + \frac{1}{1 + ctg²α}[/m].

математика 1192

Все решения

1. Невозможно рассмотреть чему равен косинус.
2.
а)
1-sin^2 α =cos^2 α

ctg^2 α =cos^2 α /sin^2 α

ctg^2 α * sin^2 α =cos^2 α

1-sin^2 α +ctg^2 α *sin^2 α =2cos^2 α

б) 1-ctg^2 α =1-(cos^2 α/sin^2 α) =(sin^2 α -cos^2 α )/sin^2 α

1/(1-ctg^2 α )=sin^2 α /(sin^2 α -cos^2 α )

1+ tg^2 α =1-(sin^2 α /cos^2 α )=(cos^2 α -sin^2 α )/cos^2 α

1/(1+tg^2 α)=cos^2 α /(cos^2 α -sin^2 α )

О т в е т. sin^2 α /(sin^2 α -cos^2 α ) + cos^2 α /(cos^2 α -sin^2 α )=

=sin^2 α /(sin^2 α -cos^2 α ) - cos^2 α /(sin^2 α -cos^2 α ) =

=(sin^2 α -cos^2 α ) /(sin^2 α -cos^2 α ) =1

Написать комментарий

Меню

Присоединяйся в ВК