Задать свой вопрос
*более 50 000 пользователей получили ответ на «Решим всё»
Задача 31565
помогите пожалуйста решить ...
Условие
vk145556180
2018-12-04 20:59:06
помогите пожалуйста решить
предмет не задан
826
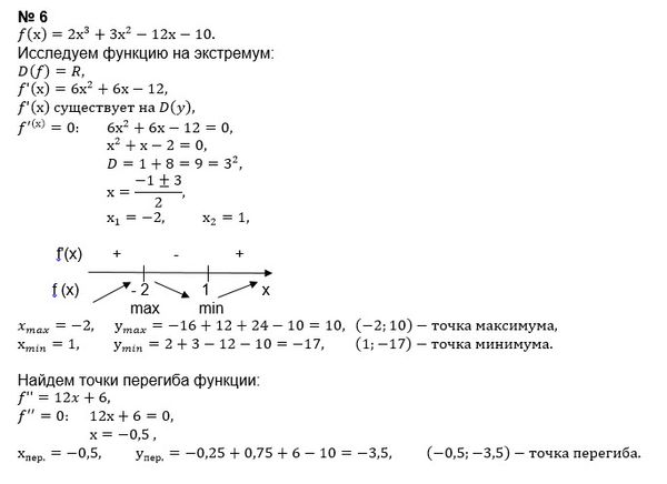
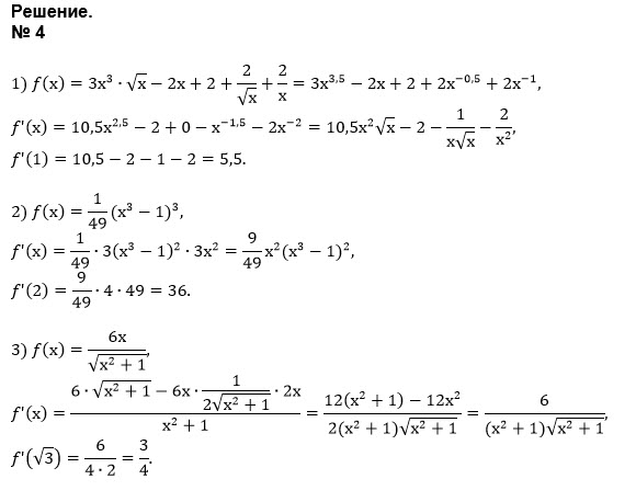
Решение
u821511235
2018-12-05 15:46:31
★
Написать комментарий
Меню
Решим всё
Найти задачу
Категории
Статьи
Тесты
Архив задач
Присоединяйся в ВК