Задать свой вопрос
*более 50 000 пользователей получили ответ на «Решим всё»
Задача 31544
4. ВЫЧИСЛИТЬ ПРЕДЕЛЫ, НЕ ПОЛЬЗУЯСЬ...
Условие
vk266567115
2018-12-04 13:33:31
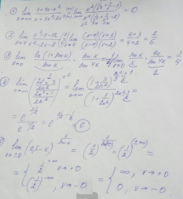
4. ВЫЧИСЛИТЬ ПРЕДЕЛЫ, НЕ ПОЛЬЗУЯСЬ ПРАВИЛОМ ЛОПИТАЛЯ
предмет не задан ВУЗ
680
Решение
sova
2018-12-04 14:13:04
★
Написать комментарий
Меню
Решим всё
Найти задачу
Категории
Статьи
Тесты
Архив задач
Присоединяйся в ВК