Задать свой вопрос   *более 50 000 пользователей получили ответ на «Решим всё»

Задача 31502 Вычислить y^(22) функции y=(x^2+x)cos^2x...

Условие

Вычислить y^(22) функции y=(x^2+x)cos^2x

математика ВУЗ 1030

Решение

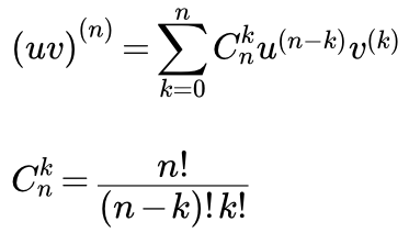
Применяем формулу Лейбница.
(cм. приложение)
u=x^2+x
v=cos^2x

u`=2x+1
u``=2
u```=0

Значит в формуле Лейбница только три слагаемых

y((22))=C^(0)_(22)u^((0))v^((22))+C^(1)_(22)u^((1))v^((21))+C^(2)_(22)u^((2))v^((20))

Остается найти производные
v^((22)); v^((21)); v^((20))

v`(x)=(cos^2x)`=2cosx*(-sinx)=-sin2x
v``(x)=-2cos2x
v```(x)=4sin2x
v````(x)=8cos2x

Остается заметить закономерность

v((20))=-2^(19)sin2x
v((21))=-2^(20)cos2x
v((22))=2^(21)sin2x

О т в е т. 2^(21)*(x^2+x)*sin2x-22*(2x+1)*2^(20)cos2x-231*2*2^(19)sin2x=

=2^(20)*((2x^2+2x)sin2x-(44x+22)*cos2x-231sin2x)

Написать комментарий

Меню

Присоединяйся в ВК