Задать свой вопрос   *более 50 000 пользователей получили ответ на «Решим всё»

Задача 31415 а) log9(3^(2x)+5sqrt(2)sinx-6cos^2x-2) =...

Условие

а) log9(3^(2x)+5sqrt(2)sinx-6cos^2x-2) = x
б) [-2Pi; -Pi/2]

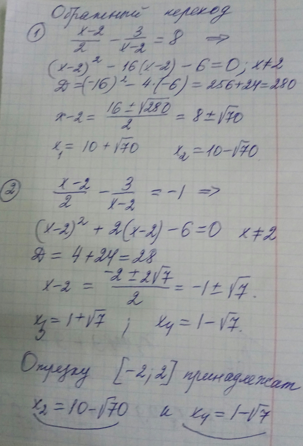
[block] а) ((x-2)^2)/(2) + (18)/((x-2)^2) = 7((x-2)/(2) - (3)/(x-2))+10 [/block]
б) [-2; 2]

математика 10-11 класс 30315

Решение

Написать комментарий

Меню

Присоединяйся в ВК