Задать свой вопрос   *более 50 000 пользователей получили ответ на «Решим всё»

Задача 31396 ПОООМОГИТЕ !!...

Условие

ПОООМОГИТЕ !!

математика ВУЗ 772

Решение

Все решения

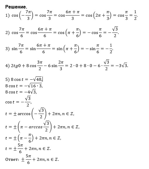
cos((-7π/3)=cos(-2π+(-π/3)=cos(-π/3)=cos(π/3)=1/2

cos(7π/6)=cos(π+(π/6)= - cos(π/6)= - sqrt(3)/2

sin (7π/6)=sin (π+(π/6)= - sin (π/6)= - 1/2
Здесь спорное понимание условия:

2tg0+8cos(3π/2)-6sin^([b]2[/b])(π/3)=2*0+8*0-6*(sqrt(3)/2)^2=-9/2

или

2tg0+8cos(3π/2)-6sin([b]2[/b]π/3)=2*0+8*0-6*(sqrt(3)/2)=-3sqrt(3)/2

Уравнение:

8cost=-sqrt(48)
8cost=-4sqrt(3)
cost=-sqrt(3)/2
t= ± arccos(-sqrt(3)/2)+2πn, n ∈ Z

t= ± (5π/6)+2πn, n ∈ Z

О т в е т. ± (5π/6)+2πn, n ∈ Z

Написать комментарий

Меню

Присоединяйся в ВК