Задать свой вопрос
*более 50 000 пользователей получили ответ на «Решим всё»
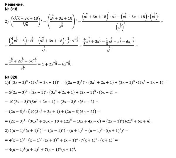
Задача 31388
Помогите пожалуйста с заданиями, которые...
Условие
vk279477231
2018-11-29 10:37:31
Помогите пожалуйста с заданиями, которые обведены в кружок!!!
математика 10-11 класс
699
Решение
u821511235
2018-11-29 11:55:30
★
Написать комментарий
Меню
Решим всё
Найти задачу
Категории
Статьи
Тесты
Архив задач
Присоединяйся в ВК