Задать свой вопрос   *более 50 000 пользователей получили ответ на «Решим всё»

Задача 3134 Поставьте в соотвествии каждому...

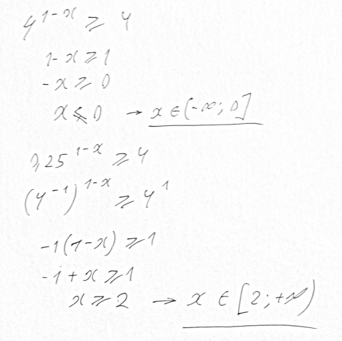
Условие

Поставьте в соотвествии каждому неравенству множество его решений

математика 10-11 класс 3362

Все решения

В таком духе. Ответ сама сопоставишь

Написать комментарий

Меню

Присоединяйся в ВК