Задать свой вопрос   *более 50 000 пользователей получили ответ на «Решим всё»

Задача 31336 ...

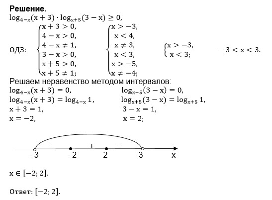
Условие

log(4-x) (x+3)*log(x+5) (3-x)≥0

математика 10-11 класс 1642

Все решения

ОДЗ:
{x+3>0 ⇒ x > -3;
{3-x > 0 ⇒ x < 3
{4-x > 0 ⇒ x < 4
{4-x ≠ 1 ⇒ x ≠ 3
{x+5 > 0 ⇒ x > -5
{x+5 ≠ 1 ⇒ x ≠ -4

ОДЗ: -3 < x < 3

Применяем метод рационализации логарифмических неравенств
( cм. приложение):

(4-x-1)*(x+3-1)*(x+5-1)*(3-x-1) ≥ 0;
(3-x)*(x+2)*(x+4)*(2-x) ≥ 0
(x+4)*(x+2)*(x-2)*(x-3) ≥ 0

Применяем метод интервалов:

__+_ [-4] __-__ [-2] __+____ [2] __-__ [3] __+__

C учетом ОДЗ получаем ответ.
[-2;2]

Написать комментарий

Категория

Меню

Присоединяйся в ВК