Задать свой вопрос   *более 50 000 пользователей получили ответ на «Решим всё»

Задача 31224 Решите систему уравнений: а)...

Условие

Решите систему уравнений:
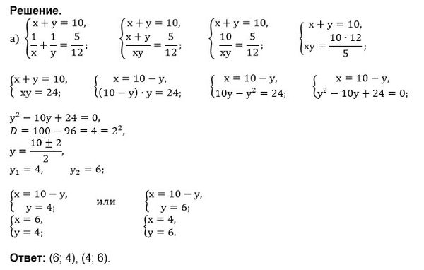
а) x+y=10;
(1)/(x)+(1)/(y)=5/12;
б) x-y=6;
(1)/(y)-(1)/(x)=3/20;
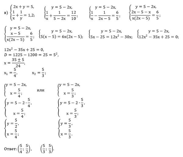
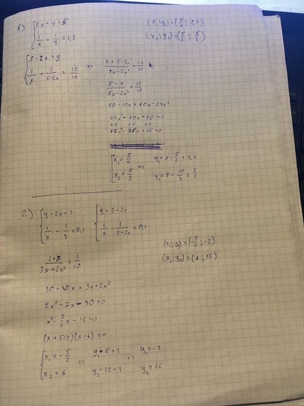
в) 2x+y=5;
(1)/(x)+(1)/(y)=1.2;
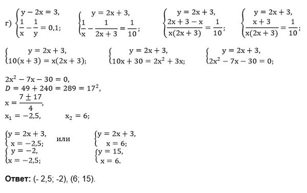
г) y-2x=3;
(1)/(x)-(1)/(y)=0.1.

математика 8-9 класс 3523

Решение

Все решения

Написать комментарий

Меню

Присоединяйся в ВК