Задать свой вопрос
*более 50 000 пользователей получили ответ на «Решим всё»
Задача 31217
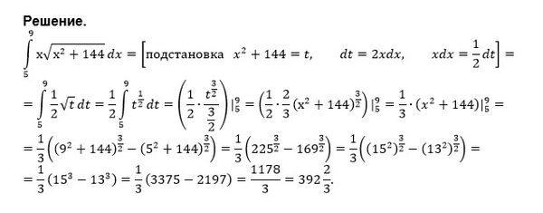
Помогите вычислить определенный интеграл...
Условие
kate76
2018-11-22 13:42:04
Помогите вычислить определенный интеграл функции:
математика ВУЗ
562
Решение
u821511235
2018-11-22 15:50:47
★
Написать комментарий
Меню
Решим всё
Найти задачу
Категории
Статьи
Тесты
Архив задач
Присоединяйся в ВК