Задать свой вопрос   *более 50 000 пользователей получили ответ на «Решим всё»

Задача 31192 Решить интеграл [m]\int...

Условие

Решить интеграл

[m]\int \frac{dx}{x\sqrt{1+ln^2x}}[/m]

математика ВУЗ 791

Все решения

Применяем метод подведения под дифференциал ( замена переменной )
Так как
d(lnx)=dx/x

∫ dx/(x*sqrt(1+ln^2x))= ∫ d(lnx)/sqrt(1+ln^2x) =

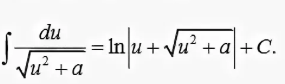
(табличный интеграл, см в приложении формулу)

u=lnx

О т в е т. ln|lnx+sqrt(1+ln^2x)|+C

Написать комментарий

Меню

Присоединяйся в ВК