Задать свой вопрос   *более 50 000 пользователей получили ответ на «Решим всё»

Задача 31149 Помогите пожалуйста.найти производные...

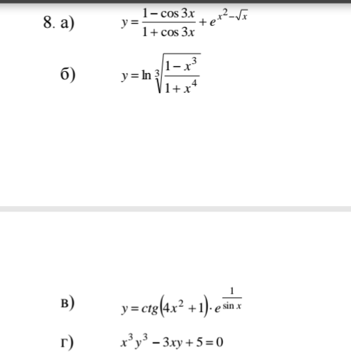
Условие

Помогите пожалуйста.найти производные функции

математика ВУЗ 2178

Все решения

8
a) Применяем правило нахождения производной дроби
(u/v)`=(u`*v-u*v`)/v^2 ; u=1-cos3x; v=1+cos3x
и правило вычисления производной сложной функции по формуле:
(e^(u))`=e^(u)*u` u=x^2-sqrt(x)

y`=((1-cos3x)`*(1+cos3x)-(1-cos3x)*(1+cos3x)`)/(1+cos3x)^2 + e^(x^2-sqrt(x))*(x^2-sqrt(x))`=

(1-cos3x)`=(sin3x)*(3x)`=3sin3x
(x^2-sqrt(x))`=2x-(1/2sqrt(x))

О т в е т. y`=6sin3x/(1+cos3x)^2 + (2x-(1/2sqrt(x)))*e^(x^2-sqrt(x))

б)
Применяем свойства логарифма :
lnx^(k)=klnx , x>0 логарифм степени
ln(u/v)=lnu-lnv, u>0; v>0 логарифм частного

y=(1/3)ln(1-x^3)-(1/3)ln(1+x^4)

y`=(1/3)*(1/(1-x^3))*(1-x^3)`-(1/3)*(1/(1+x^4))*(1+x^4)`=

=(-3x^2)/(3*(1-x^3)) - (4x^3)/(3*(1+x^4)).


в)
Применяем метод "логарифмическое дифференцирование".

Находим lny и находим производную lny

lny=e^(1/sinx)*ln(ctg(4x^2+1))

Дифференцируем
Слева производная сложной функции
(lnu)`=u`/u
Справа производная произведения
(u*v)`=u`*v+u*v`

y`/y=(e^(1/sinx))`*ln(ctg(4x^2+1))+e^(1/sinx)*(ln(ctg(4x^2+1)))`

y`/y=((e^(1/sinx))*(1/sinx)`*ln(ctg(4x^2+1))+e^(1/sinx)*(1/ctg(4x^2+1))*(ctg(4x^2+1))`;

y`/y=(-cosx/sin^2x)*(e^(1/sinx))*ln(ctg(4x^2+1)) + e^(1/sinx)*(1/ctg(4x^2+1))*(-1/sin^2(4x^2+1))*(4x^2+1)`;

y`/y=(-cosx/sin^2x)*(e^(1/sinx))*ln(ctg(4x^2+1)) - e^(1/sinx)*(1/ctg(4x^2+1))*(8x/sin^2(4x^2+1));

y=[b]y[/b]*[b]([/b](-cosx/sin^2x)*(e^(1/sinx))*ln(ctg(4x^2+1)) - e^(1/sinx)*(1/ctg(4x^2+1))*(8x/sin^2(4x^2+1))[b])[/b];

где [b]y[/b] - функция, которая дана.

г) Производная неявной функции.

Дифференцируем равенство.
х- независимая переменная.
y- зависимая от х, сложная.

(x^3*y^3)`-3*(xy)`+(5)`=0`
(x^3)`*(y^3)+(x^3)*(y^3)`-3*(x`*y+x*y`)+0=0

3x^2*y^3+x^3*(3y^2)*y`-3(y+xy`)=0

Находим y`

y`*(3x^3y^2-3x)=3y-3x^2y^3

y`=(y-x^2y^3)/(3x^3y^2-x) - о т в е т.

Написать комментарий

Меню

Присоединяйся в ВК