Задать свой вопрос
*более 50 000 пользователей получили ответ на «Решим всё»
Задача 31146
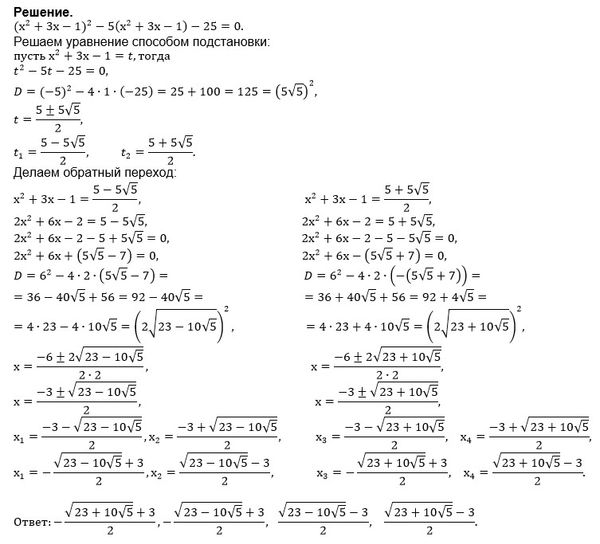
(х^2+3x-1)^2-5(х^2+3x-1)-25=0...
Условие
vk50803477
2018-11-20 04:38:07
(х^2+3x-1)^2-5(х^2+3x-1)-25=0
математика 10-11 класс
620
Решение
u821511235
2018-11-20 07:05:53
★
Написать комментарий
Меню
Решим всё
Найти задачу
Категории
Статьи
Тесты
Архив задач
Присоединяйся в ВК