б) Отобрать корни на отрезке [-5Pi/2; -Pi]
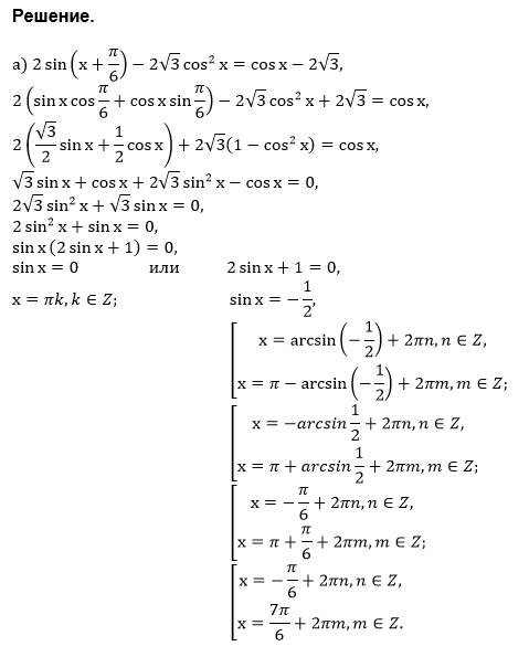
sin(х +(π/6))=sinх*cos(π/6)+cosх*sin(π/6)=(sqrt(3)sinx+cosx)/2
Уравнение принимает вид
sqrt(3)*sinx+cosx-2sqrt(3)cos^2x=cosx-2sqrt(3)
sqrt(3)*sinx+2sqrt(3)cos^2x=-2sqrt(3)
Так как сos^2x=1-sin^2x
2sqrt(3)sin^2x+sqrt(3)sinx=0
sqrt(3)*sinx*(2sinx+1)=0
sinx=0 ⇒ x=πk,k ∈ Z
или
2sinx+1=0 ⇒ sinx=-1/2 ⇒ x=(-1)^(n+1)*(π/6)+πn, n ∈ Z
О т в е т.
а) πk,k ∈ Z
(-1)^(n+1)*(π/6)+πn, n ∈ Z
б) -π; -2π; (-π/6)-2π=-13π/6 три корня, принадлежащих указанному промежутку
