Задать свой вопрос   *более 50 000 пользователей получили ответ на «Решим всё»

Задача 31076 ...

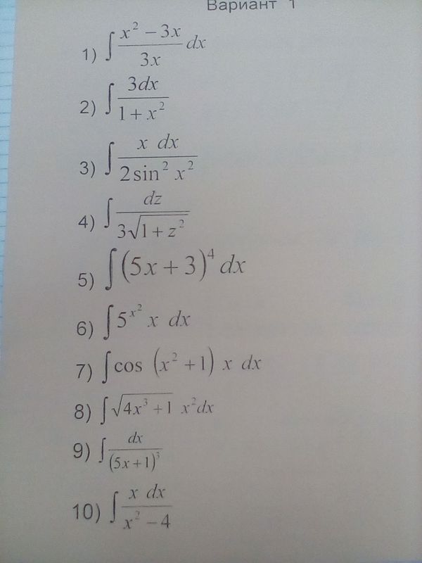
Условие

Вычисление неопределенного интеграла.Высшая математика,помогите с решением,пожалуйста

[block]∫(x^2-3x)/(3x)dx[/block]

математика ВУЗ 1557

Решение

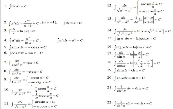
Применяется метод подведения под дифференциал.
Номер формулы ( см. таблицу в приложении), по которой вычислен интеграл над знаком равенства в кружке.

Написать комментарий

Меню

Присоединяйся в ВК