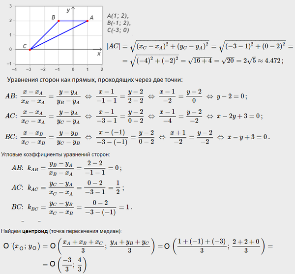
а) уравнения сторон треугольника;
б) длину стороны АС и ее уравнения: каноническое, параметрические и с угловым коэффициентом;
в) уравнение высоты ВН;
г) уравнение медианы ВМ;
д) уравнение биссектрисы BD;
е) координаты точки О-точки пересечения медиан;
ж) внутренний угол А.

