Задать свой вопрос   *более 50 000 пользователей получили ответ на «Решим всё»

Задача 3107 Найти момент инерции однородной...

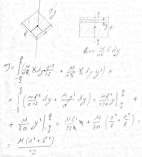
Условие

Найти момент инерции однородной пластины, шириной а, высотой b, масса M. Ось вращения проходит через центр пластины.

физика ВУЗ 2253

Решение



Ответ: M(a^2+b^2)/12

Написать комментарий

Меню

Присоединяйся в ВК