1)Даны 2 прямые : L1 x-1/3=y+2/6=z-5/2, и L2 x/2=y-3/9=z+1/6. Найти угол между прямыми L1 и L2.
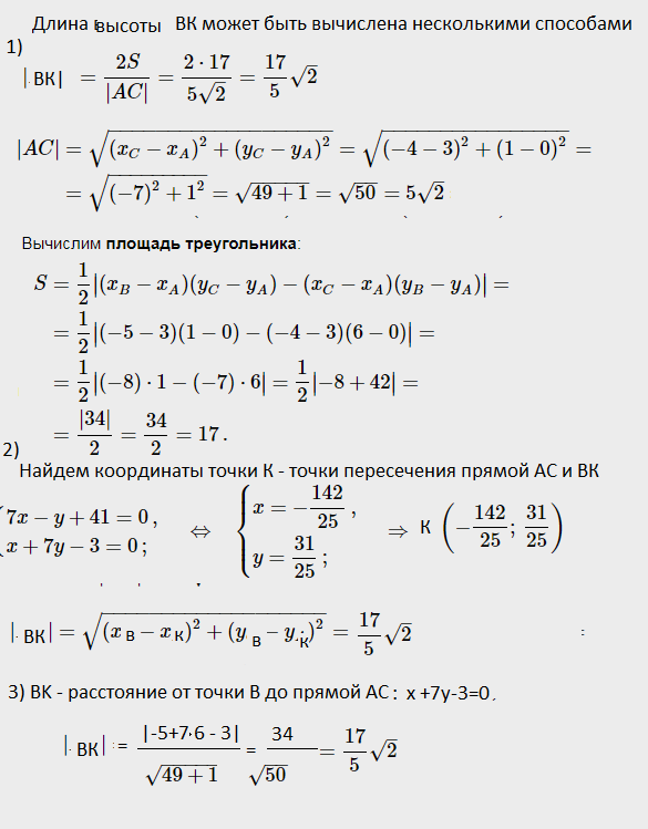
2)Даны вершины треугольника A(3;0), B(-5,6), C(-4;1). Найти: 1. уравнение прямых AB и AC, 2. угол между прямыми AB и AC, 3. уравнение медианы проведенное из вершины C, 4. уравнение высоты опущенное из вершины B, 5. найти длину этой высоты.
vector{s_(1)}=(3;6;2)
vector{s_(2)}=(2;9;6)
сos φ =vector{s_(1)}*vector{s_(2)}/|vector{s_(1)}|*|vector{s_(2)}|=
=(3*2+6*9+2*6)/(sqrt(3^2+6^2+2^2)*sqrt(2^2+9^2+6^2))=
=72/(7*11)=72/77
φ =arccos(72/77)
2) угол между прямыми АВ и АС можно вычислить так же как в п. 1
vector{s_(AB)}=(3;4)
vector{s_(AC)}=(1;7)
сos φ =vector{s_(AB)}*vector{s_(AC)}/|vector{s_(AB)}|*|vector{s_(AC)}|=
=(3*1+4*7)/(5*sqrt(50))=31/*25*sqrt(2))
φ =arccos(31/(25*sqrt(2)))
А можно через угловые коэффициенты
k_(AB)=-3/4
tg α =-3/4
k_(AC)=-1/7
tg β =-1/7
tgφ =tg ( α - β)=(tgα - tgβ )/(1+tgα*tgβ)= -19/31
φ = arctg (-19/31) - это тупой угол, а смежный arctg (19/31) - острый
