Задать свой вопрос   *более 50 000 пользователей получили ответ на «Решим всё»

Задача 31031 (x^(1/2))*x^(6/7) / (x^(2/7))^(-4)...

Условие

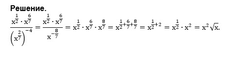
(x^(1/2))*x^(6/7) / (x^(2/7))^(-4)

математика 10-11 класс 877

Все решения

Применяем свойства степени:
a^(m)*a^(n)=a^(m+n)
(a^(m))^(n)-a^(m*n)
a^(m):a^(n)=a^(m-n)

Числитель:
x^(1/2)*x^(6/7)=x^((1/2)+(6/7))=x^(19/14)
Знаменатель:
(x^(2/7))^(-4)=x^((2/7)*(-4))=x^(-8/7)=x^(-16/14)
Дробь:
x^(19/14) : x^(-16/14)= x^((19/14)-(-16/14))=x^(35/14)=x^(5/2)=x^2*sqrt(x)

Написать комментарий

Меню

Присоединяйся в ВК