Задать свой вопрос   *более 50 000 пользователей получили ответ на «Решим всё»

Задача 31020 [b]1.[/b] Треугольник задан вершинами :...

Условие

[b]1.[/b] Треугольник задан вершинами :

A(-2; -2)
B(7; -6)
C(1;2)

Найти:
1. Уравнение прямой AM, параллельной стороне ВС;

2. Уравнение медианы AD, ее длину;

3. Уравнение высоты BF;

4. Центр тяжести треугольника;

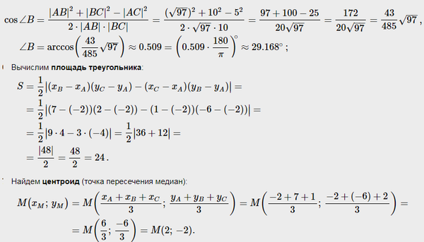
5. Угол В;

6. Площадь треугольника

[b]2.[/b] Найти расстояние между центрами окружностей и линию центров этих окружностей:

x^2+y^2-4x-2y-15 = 0
x^2+y^2+6x+18y-55 = 0

математика 4276

Все решения

2.
Выделим полные квадраты:
(x^2-4x)+(y^2-2y)-15=0
(x-2)^2+(y-1)^2=10
центр окружности O(2;1)

(x^2+6x)+y^2+18y)-55=0
(x+3)^2+(y+9)^2=155
центр окружности O_(1)(-3;-9)

ОО_(1)=sqrt((-3-2)^2+(-9-1)^2)=sqrt(25+100)=sqrt(125)=5sqrt(5)

1.
1)Уравнение прямой проходящей через точкy (x_(o);y_(o)) с направляющим вектором vector {s}=(p;q) имеет вид
(x-x_(o))/p=(y-y_(o))/q

Уравнение прямой АМ как прямой проходящей через точкy А(-2;-2) с направляющим вектором vector {BC}=(1-7;2-(-6))=(-6;8)

(x-(-2))/(-6)=(y-(-2))/(8) ⇒ (x+2)/(-6)=(y+2)/8
[b] AM: 8x+6y+28=0[/b]

2) Координаты точки D - середины BC
x_(D)=(x_(B)+x_(C))/2 = (7+1)/2=4
y_(D)=(y_(B)+y_(C))/2= (-6+2)/2)=-2
[b]D(4;-2)[/b]
По условию
[b]А(-2;-2)[/b]

Значит,
[b]уравнение медианы AD:
y=-2[/b]

AD=sqrt(4-(-2))^2+(-2-(-2))^2)=6

3)
Высота BF перпендикулярна прямой AC.

Уравнение прямой АС как прямой, проходящей через две точки:
(x-(-2))/(1-(-2))=(y-(-2))/(2-(-2)) ⇒ (x+2)/(3)=(y+2)/4 ⇒
4х - 3у +2=0
y=(4/3)x+(2/3)
k_(AC)=4/3

k_(AC)*k_(BF)=-1

k_(BF)=-3/4

Общий вид прямых, перпендикулярных АС:
у=(-3/4)х + m

Подставим координаты точки В
-6 = (-3/4)*7 + m
m=-3/4

[b] BF: у=(-3/4)х -(3/4); 3x+4y+3=0[/b]

4) Центр тяжести треугольника - точка пересечения медиан.
Составим уравнение медианы ВК.
К - середина АС
К((-2+1)/2;(-2+2)/2)=К(-1/2; 0)

(x-7)/((-1/2)-7)=(y-(-6)/(0-(-6));

(x-7)/(-7,5)=(y+6)/6

4x +5y +2 =0

Точка пересечения медианы АМ и медианы ВК:
y=-2
4x=8
x=2

(2; -2) - координаты центра тяжести

Написать комментарий

Меню

Присоединяйся в ВК