1) уравнения сторон AB иAC , длину стороны AB
2)уравнения и длину высоты CD
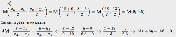
3)уравнение медианы AM
4)точку N пересечения медианы AM и высоты CD
5)Уравнение прямой , проходящей через вершину С параллельно сторону AB
6)Расстояние от точки B до прямой AC
7)Угол при вершине А
А(12,0) B(18,8) С(0,5)




