Задать свой вопрос
*более 50 000 пользователей получили ответ на «Решим всё»
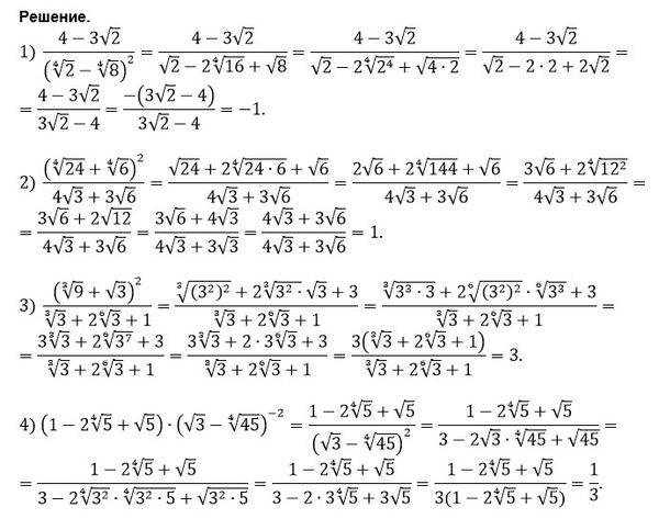
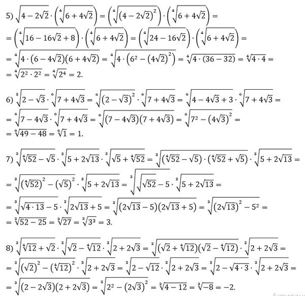
Задача 31005
помогите. срочно...
Условие
vk432205961
2018-11-13 20:28:50
помогите. срочно
математика
743
Все решения
u821511235
2018-11-13 21:59:44
Написать комментарий
Меню
Решим всё
Найти задачу
Категории
Статьи
Тесты
Архив задач
Присоединяйся в ВК