Задать свой вопрос
*более 50 000 пользователей получили ответ на «Решим всё»
Задача 30986
найти наибольшее и наименьшее значение...
Условие
vk444707631
2018-11-13 06:53:21
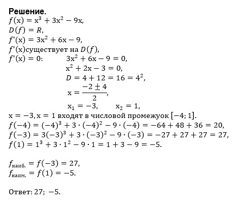
найти наибольшее и наименьшее значение функции f(x)=x^3+3x^2-9x на [-4;1]
математика 10-11 класс
4530
Все решения
u821511235
2018-11-13 07:30:28
Написать комментарий
Меню
Решим всё
Найти задачу
Категории
Статьи
Тесты
Архив задач
Присоединяйся в ВК