Задать свой вопрос
*более 50 000 пользователей получили ответ на «Решим всё»
Задача 30941
помогите...
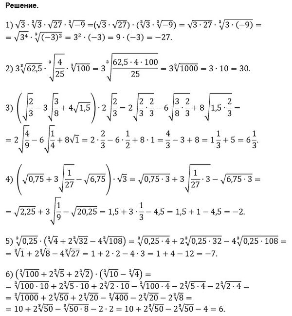
Условие
vk432205961
2018-11-11 20:19:37
помогите
математика
795
Решение
u821511235
2018-11-11 22:19:53
★
Написать комментарий
Меню
Решим всё
Найти задачу
Категории
Статьи
Тесты
Архив задач
Присоединяйся в ВК