Задать свой вопрос   *более 50 000 пользователей получили ответ на «Решим всё»

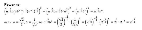
Задача 30909 (a^(-3/2)b(ab^(-2))^(-1/2)(a^(-1))^(-3/2))^3...

Условие

(a^(-3/2)b(ab^(-2))^(-1/2)(a^(-1))^(-3/2))^3 если ...

математика 10-11 класс 1626

Все решения

Применяем свойства степени:
a^(m)*a^(n)=a^(m+n)
(a^(m))^(n)=a^(mn)
(a*b)^(n)=a^(n)*b^(n)

=[b]([/b]a^(-3/2)*b*a^(-1/2)*b^((-2)*(-1/2))*a^((-1)*(-3/2))[b])[/b]^(3)=

=( a^(-3/2)+(-1/2)+(3/2))*b^2)^3=(a^(-1/2)b^(2))^3=a^(-3/2)*b^(6)

При a=sqrt(2)/2; b=1/∛2

a^(-3/2)=(1/a)^(3/2)=(2/sqrt(2))^(3/2)=sqrt(((sqrt(2))^3)=2^(3/4)

b^(6)=(1/∛2)^6=1/2^(2)=2^(-2)

О т в е т. 2^(3/4)*2^(-2)=2^(-5/4)=(1/2)^(5/4)=корень четвертой степени из (1/32)

Написать комментарий

Меню

Присоединяйся в ВК