Задать свой вопрос   *более 50 000 пользователей получили ответ на «Решим всё»

Задача 30901 Найдите не определенный интеграл dx/sqrt...

Условие

Найдите не определенный интеграл dx/sqrt (x^2+3x)

предмет не задан 1891

Все решения

Выделяем полный квадрат:
x^2+3x=x^2+2*x*(3/2)+(9/4) -(9/4)=(x+(3/2))^2-(9/4)

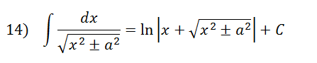
∫ dx/sqrt(x^2+3x)= ∫ dx/sqrt((x+3/2)^2-9/4)= u=x+(3/2) du=dx=

= ∫ du/sqrt(u^2-(9/4))= ln|u+sqrt(u^2-(9/4))|+C=

=ln|(x+(3/2)+sqrt(x^2+3x)| + C

Написать комментарий

Меню

Присоединяйся в ВК