Задать свой вопрос   *более 50 000 пользователей получили ответ на «Решим всё»

Задача 30898 Решить предел, не испульзуя правило...

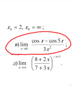
Условие

Решить предел, не испульзуя правило Лопиталя

математика ВУЗ 824

Решение

Применяем формулу
cos α -cos β = - 2sin((1/2)( α + β )*cos(1/2)( α - β )

= -2lim_(x→0) sin(3x)*sin(-2x)/(3x^2)=

= 2lim_(x→0) sin(3x)*sin(2x)/(3x^2)= 2* lim_(x→0) sin(3x)/(3x)* lim_(x→0) sin(2x)/(2x) * lim_(x→0) 2x/x = 2*1*1*2=4

Написать комментарий

Меню

Присоединяйся в ВК