Задать свой вопрос   *более 50 000 пользователей получили ответ на «Решим всё»

Задача 30862 Помогите, пожалуйста! Написать уравнение...

Условие

Помогите, пожалуйста! Написать уравнение плоскости, которая проходит через точки M1(1;1;0) и M2(4;0;0) параллельно оси Oz.

математика ВУЗ 1028

Решение

ответ 0

Все решения

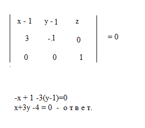
Пусть M(x;y;z) - произвольная точка плоскости.
Тогда векторы
vector{M_(1)M}=(x-1;y-1;z)
vector{M_(1)M_(2)}=(4-1;0-1;0-0)
vector{k}=(0;0;1)
[b] компланарны [/b]
Условие компланарности: равенство 0 определителя третьего порядка, составленного из координат данных векторов


Написать комментарий

Меню

Присоединяйся в ВК