Задать свой вопрос   *более 50 000 пользователей получили ответ на «Решим всё»

Задача 30818 См. условие в прикрепленной фотографии ...

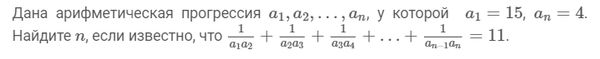
Условие

См. условие в прикрепленной фотографии

математика 10-11 класс 693

Решение

По формуле общего члена арифметической прогрессии:

a_(n)=a_(1)+(n-1)d

4=15+(n-1)*d

(n-1)d=4-15

(n-1)d=-11

[b](n-1)d=-11[/b];

Так как
(1/a_(1))-(1/a_(2))=(a_(2)-a_(1))/(a_(1)a_(2))=d/(a_(1)*a_(2));
(1/a_(2))-(1/a_(3))=(a_(3)-a_(2))/(a_(2)a_(3))=d/(a_(2)*a_(3));
...
(1/a_(n))-(1/a_(n-1))=(a_(n)-a_(n-1))/(a_(n)*a_(n-1))=d/(a_(n-1)*a_(n))

складываем
слева останутся два слагаемых
Справа выносим d за скобки и в скобках сумма по условию равна 11.
(1/a_(1))-(1/a_(n))=d* 11

(1/15)-(1/4)=d*11

d=-1/60

(n-1)=-11/d=60

n=60+1=61
О т в е т. 61

Написать комментарий

Меню

Присоединяйся в ВК