Задать свой вопрос   *более 50 000 пользователей получили ответ на «Решим всё»

Задача 30815 См. условие в прикрепленном изображении ...

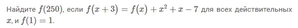
Условие

См. условие в прикрепленном изображении

математика 10-11 класс 628

Решение

f(250)=f(247)+247^2+247-7=
=f(244)+244^2+244-7+247^2+247-7=
=
...
=f(4)+4^2+4-7+...
= f(1)+1^2+1-7+4^2+4-7+7^2+7-7+... + 244^2+244-7+247^2+247-7

так как f(1)=1
осталось найти:
s_(1)=1+4+7+...+244+247 -
cумма членов арифметической прогрессии
d=3; a_(1)=1
a_(n)=a_(1)+(n-1)*d⇒ 247=1+(n-1)*3 ⇒ n-1=82; n=83

s_(1)=(1+247)*83/2=10292;

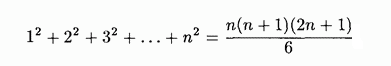
s_(2)1^2+4^2+7^2+...+244^2+247^2=
надо подумать как сосчитать, есть формула ( см. приложение, но она для слагаемых от 1 до n)

s_(3)=83*7

О т в е т. f(250)=f(1)+s_(1)+s_(2)-s_(3)


Написать комментарий

Меню

Присоединяйся в ВК