Задать свой вопрос   *более 50 000 пользователей получили ответ на «Решим всё»

Задача 30773 ...

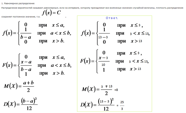
Условие

Для случайной величины X, распределенной равномерно на отрезке [a,b], записать функцию распределения F(x), плотность вероятности f(x). Найти математическое ожидание М(Х), дисперсию D(X) и среднее квадратическое отклонение σ(X), если задан отрезок:
[3,13]

математика ВУЗ 5783

Решение

Написать комментарий

Меню

Присоединяйся в ВК