Задать свой вопрос   *более 50 000 пользователей получили ответ на «Решим всё»

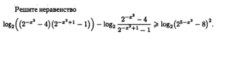
Задача 3076 log(2)((2^(-x^2)-4)(2^(-x^2+1)-1))-log(2)((2^-x^2-4)/(2^(-x^2+1)-1)>=log(2)(2^(2-x^2)-8)^2...

Условие

log(2)((2^(-x^2)-4)(2^(-x^2+1)-1))-log(2)((2^-x^2-4)/(2^(-x^2+1)-1)>=log(2)(2^(2-x^2)-8)^2

математика 10-11 класс 1753

Все решения

Кароч сначала решаешь систему ОДЗ, затем я привёл уравнение к простому квадратному решаешь его и вконце концов делаешь обратную замену, чего не понятно - спрашивай в комментариях

Написать комментарий

Меню

Присоединяйся в ВК