Задать свой вопрос   *более 50 000 пользователей получили ответ на «Решим всё»

Задача 30757 Основание прямой призмы KLMNK'L'M'N' -...

Условие

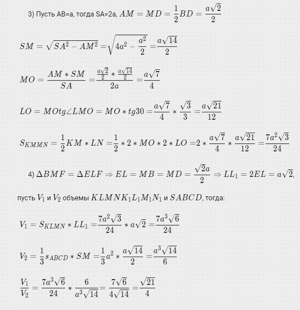
Основание прямой призмы KLMNK'L'M'N' - ромб KLMN с углом 60 градусов при вершине К. Точки Е и F - середины ребер LL' и LM призмы. Ребро SA правильной четырехугольной пирамиды SABCD (S - вершина) лежит на прямой LN, вершины D и B - на прямых MM' и EF соответственно. Известно, что SA=2AB.

А) Докажите, что точка В лежит на прямой ММ'

Б) Найти отношение объемов призмы и пирамиды.

математика 10-11 класс 1571

Решение

Есть решение в интернете. См. ссылку.

Написать комментарий

Меню

Присоединяйся в ВК